MOONSUN
[백준 C++] 11779번: 최소비용 구하기2 본문
앞에서 다익스트라 알고리즘에 대해서 알아보았다.
이번에는 다익스트라 알고리즘을 활용할 수 있는 백준 문제 11779번을 풀어보도록 하겠다!
백준 11779번 : 최소비용 구하기2
문제
n(1≤n≤1,000)개의 도시가 있다.
그리고 한 도시에서 출발하여 다른 도시에 도착하는 m(1≤m≤100,000)개의 버스가 있다.
우리는 A번째 도시에서 B번째 도시까지 가는데 드는 버스 비용을 최소화 시키려고 한다.
그러면 A번째 도시에서 B번째 도시 까지 가는데 드는 최소비용과 경로를 출력하여라.
항상 시작점에서 도착점으로의 경로가 존재한다.
입력
첫째 줄에 도시의 개수 n(1≤n≤1,000)이 주어지고
둘째 줄에는 버스의 개수 m(1≤m≤100,000)이 주어진다.
그리고 셋째 줄부터 m+2줄까지 다음과 같은 버스의 정보가 주어진다.
먼저 처음에는 그 버스의 출발 도시의 번호가 주어진다.
그리고 그 다음에는 도착지의 도시 번호가 주어지고 또 그 버스 비용이 주어진다.
버스 비용은 0보다 크거나 같고, 100,000보다 작은 정수이다.
그리고 m+3째 줄에는 우리가 구하고자 하는 구간 출발점의 도시번호와 도착점의 도시번호가 주어진다.
출력
첫째 줄에 출발 도시에서 도착 도시까지 가는데 드는 최소 비용을 출력한다.
둘째 줄에는 그러한 최소 비용을 갖는 경로에 포함되어있는 도시의 개수를 출력한다. (출발 도시와 도착 도시도 포함한다.)
셋째 줄에는 최소 비용을 갖는 경로를 방문하는 도시 순서대로 출력한다. 경로가 여러가지인 경우 아무거나 하나 출력한다.
즉, 정리하자면
- 입력 받을 내용
- 도시 개수 n
- 버스 개수 m
- ( 시작번호, 도착번호, 버스비용 ) → m번 반복
- 시작점, 목적지
- 출력할 내용
- 총 최소 비용
- 경로의 노드 개수 (배열 크기)
- 경로 출력
01. 구조
앞에서 예시로 들었던 다익스트라 알고리즘의 그래프 모양을 구상하면서 구조를 설계 해보았다.

구현을 위해서 일단 다음과 같은 구조체를 정의 했다.
| 구성 요소 | 역할 | 담고있는 내용 |
| Edge | 한 노드에서 다른 노드로의 “간선” 정보 저장 | 도착 노드, 가중치 |
| Node | 노드 자체의 데이터(Data)와 인접한 간선 목록(Edge)을 가짐 | 데이터, 인접 노드의 간선 정보들 |
| Graph | 여러 노드를 담고, 그래프 전체의 다익스트라 알고리즘 수행 |
1-1. Edge
struct Edge
{
int To; // 도착 노드 index
int Weight = 1; // 가중치, 기본값 1
};
- 한 노드에 연결된 하나의 간선
- from -> To 방향으로 향하며, weight(가중치, 비용)이 있음
- Weight 에는 기본값으로 1을 넣어두었다.
1-2. Node
struct Node
{
vector<Edge> Edges; // 인접 리스트 (인접 노드 정보)
};
- Edges 는 이 노드에서 출발하는 모든 간선의 리스트 이다.
1-3. Graph
struct Graph
{
vector<Node> Nodes;
explicit Graph(int n) : Nodes(n) {}
...
};
- Nodes 는 그래프를 이루는 모든 노드들 이고,
- Graph로 노드 n개 짜리 그래프를 초기화 한다.
이 그래프 구조체에는 그래프 구성을 위한 메서드들을 정의 했다.
void AddDirectedEdge(int from, int to, int weight) // 시작, 도착, 비용
{
Nodes[from].Edges.push_back({ to, weight });
}
void Dijkstra(int start, int end) // start에서 end까지 다익스트라 수행
{
...
}
- AddDirectedEdge (int from, int to, int weight)
- 방향 간선 추가
- Dijkstra (int start, int end)
- 최단 거리 계산하는 다익스트라 실행
2. Dijkstra()
핵심 내용인 다익스트라 메소드 내부 로직에 대해 살펴보도록 하자.
2-1. 자료구조
vector<bool> Visit(Nodes.size(), false); // 노드 방문 여부
vector<int> Distance(Nodes.size(), INT_MAX); // 시작 노드 ~ i번 노드까지 현재 최단거리
vector<int> Prev(Nodes.size(), -1); // (경로 복원용) 최단 경로에서 i번 노드로 오기 직전의 노드
2-2. 우선순위 큐 (priority_queue)
struct q_data
{
int NodeIndex;
int AccumulatedWeight;
bool operator>(const q_data& other) const
{
return AccumulatedWeight > other.AccumulatedWeight;
}
};
priority_queue<q_data, vector<q_data>, greater<q_data>> Queue;
- 작은 누적 가중치 순으로 정렬되는 최소 힙
- 즉, 현재까지의 "비용이 가장 작은" 노드를 먼저 탐색
2-3. 탐색 과정
while (!Queue.empty())
{
auto curr = Queue.top();
Queue.pop();
if (Visit[curr.NodeIndex])
continue;
Visit[curr.NodeIndex] = true;
}
- 큐에서 가장 짧은 거리의 노드 꺼냄
- 이미 방문했다면 패스
- 방문 처리 후 인접 노드들 확인
2-4. 인접 노드 갱신
for (auto& edge : Nodes[curr.NodeIndex].Edges)
{
int newCost = Distance[curr.NodeIndex] + edge.Weight;
if (newCost < Distance[edge.To])
{
Distance[edge.To] = newCost;
Prev[edge.To] = curr.NodeIndex;
Queue.push({ edge.To, newCost });
}
}
- 인접 노드로 가는 새로운 비용 계산 (newCost)
- 현재 저장된 거리보다 작으면 갱신
- 경로 추적용으로 Prev[] 에 현재 노드 기록
- 우선 순위 큐에도 삽입
2-5. 결과 출력 ( 최소 비용 )
cout << "\n" << Distance[end] << "\n"; // 최소비용
- end 노드까지의 최소 거리
2-6. 경로 복원 및 결과 출력 ( 경로 노드 수, 최단 경로 )
vector<int> path;
for (int at = end; at != -1; at = Prev[at]) // 뒤에서 부터 추적
{
path.push_back(at);
}
reverse(path.begin(), path.end()); // 경로 완성
- Prev 따라가면서 뒤에서부터 추적 -> reverse로 순서 뒤집어서 경로 완성
03. 입력 / 출력 예시
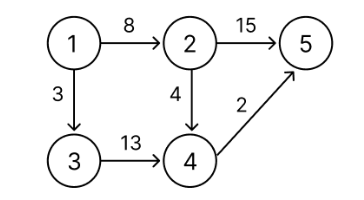
아래 그래프를 입력으로 넣어보면 다음과 같은 입/출력이 구성된다.

입력
5 6 // 노드 5개 , 간선 6개
1 2 8
1 3 3
2 4 4
2 5 15
3 4 13
4 5 2
1 5 // 1 -> 5 최단 경로 탐색
출력
14 // 최소 비용
4 // 경로 노드 개수
1 2 4 5 // 최단 경로
04. 전체 코드
#include <iostream>
#include <vector>
#include <queue>
#include <climits> // INT_MAX
#include <algorithm>
using namespace std;
struct Edge
{
int To; // 도착 노드 index
int Weight = 1; // 가중치, 기본값 1
};
struct Node
{
vector<Edge> Edges; // 인접 노드 정보
};
struct Graph
{
vector<Node> Nodes;
explicit Graph(int n) : Nodes(n) {}
void AddDirectedEdge(int from, int to, int weight) // 시작, 도착, 비용
{
Nodes[from].Edges.push_back({ to, weight });
}
// start에서 end까지 다익스트라 수행
void Dijkstra(int start, int end)
{
vector<bool> Visit(Nodes.size(), false);
vector<int> Distance(Nodes.size(), INT_MAX);
vector<int> Prev(Nodes.size(), -1); // 경로 추적용
struct q_data
{
int NodeIndex;
int AccumulatedWeight; // 누적 가중치
bool operator>(const q_data& other) const
{
return AccumulatedWeight > other.AccumulatedWeight;
}
};
// 방문할 노드 index를 저장하는 우선순위 큐
priority_queue<q_data, vector<q_data>, greater<q_data>> Queue;
Queue.push({ start, 0 });
Distance[start] = 0;
while (!Queue.empty())
{
auto curr = Queue.top();
Queue.pop();
if (Visit[curr.NodeIndex])
continue;
Visit[curr.NodeIndex] = true;
// 인접 노드 확인
for (auto& edge : Nodes[curr.NodeIndex].Edges)
{
int newCost = Distance[curr.NodeIndex] + edge.Weight;
if (newCost < Distance[edge.To])
{
Distance[edge.To] = newCost;
Prev[edge.To] = curr.NodeIndex; // 이전 노드 기록
Queue.push({ edge.To, newCost });
}
}
}
// 출력
cout << "\n" << Distance[end] << "\n"; // 최소비용
// 경로 복원
vector<int> path;
for (int at = end; at != -1; at = Prev[at])
{
path.push_back(at);
}
reverse(path.begin(), path.end());
// 경로에 포함된 도시 개수
cout << path.size() << "\n";
for (int city : path)
{
cout << city + 1 << " "; // 도시 번호는 1부터 시작하므로 +1
}
cout << "\n";
}
};
int main()
{
int n, m;
cin >> n >> m;
Graph graph(n);
for (int i = 0; i < m; ++i)
{
int from, to, weight;
cin >> from >> to >> weight;
graph.AddDirectedEdge(from - 1, to - 1, weight);
}
int start, end;
cin >> start >> end;
graph.Dijkstra(start - 1, end - 1);
return 0;
}
'CS' 카테고리의 다른 글
| [알고리즘] 그래프 : 위상정렬(Topological Sort)과 Task Graph, Kahn 알고리즘 (0) | 2025.10.30 |
|---|---|
| [알고리즘] 그래프 : A*(asterisk) 알고리즘 (1) | 2025.10.23 |
| [알고리즘] 그래프 : 다익스트라 (Dijkstra) (0) | 2025.10.16 |
| [자료구조] 그래프(Graph) 와 위상 정렬(Topological Sort) (0) | 2025.10.01 |
| [알고리즘] 효율적인 '자료구조 기반' 정렬(N log₂N): 힙 정렬(Heap Sort) (0) | 2025.09.26 |